Drum-type gear coupling for DC reel Features and application: It is suitable for the connection of reducer and reel of crane and lifting mechanism and other similar mechanisms. It can transmit torque and support radial load, and has compact structure. Work is stable and reliable.
![]() ![]() ![]()
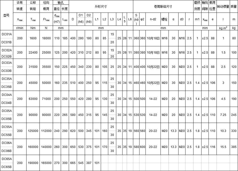
DC系列卷筒用鼓形齒式聯軸器主要參數及尺寸: mm
![]() |



